Podeu trobar tota la informació a preinscripcio.gencat.cat



Calendari i Terminis
3 de març de 2026: publicació de l’oferta inicial de places escolars
Del 4 al 18 de març de 2026 (a partir de les 9 hores): presentació de sol·licituds
Fins al 19 de març de 2026: presentació de documentació
15 d’abril de 2026: llista de sol·licituds amb la puntuació provisional
Del 15 al 20 d’abril de 2026: presentació de reclamacions
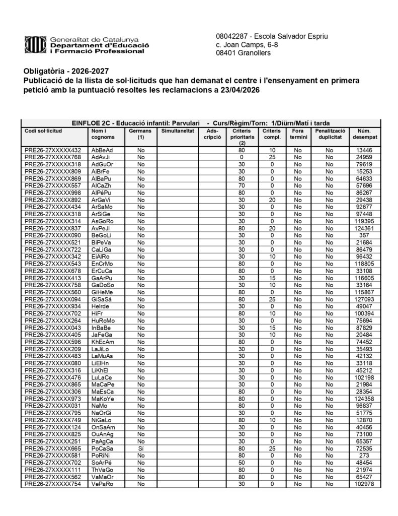
23 d’abril de 2026: llista de sol·licituds amb la puntuació un cop resoltes les reclamacions
28 d’abril de 2026 a les 11 hores: sorteig per resoldre les sol·licituds de preinscripció empatades en punts
29 d’abril de 2026: publicació de la llista ordenada
De l’1 al 3 de juny de 2026: ampliació de peticions de preinscripció per a alumnes sense plaça assignada a cap centre
10 de juny de 2026: oferta final de places escolars
10 de juny de 2026: llista d’alumnes admesos i llista d’espera
Del 22 al 30 de juny de 2026: matriculació
| BAREM | |
| Existència de germans/es matriculats/des al centre | 50 punts |
| Viure a Granollers | 30 punts |
| No viure, però sí treballar a Granollers (no són acumulables el viure i treballar a Granollers) | 20 punts |
| Percepció de la renda garantida de ciutadania | 15 punts |
| BAREM COMPLEMENTARI | |
| Criteri de tutors que treballin al centre | 10 punts |
| Condició legal de família nombrosa | 10 punts |
| Condició legal de família monoparental | 10 punts |
| Part múltiple | 10 punts |
| Alumne/a en situació d’acolliment familiar | 10 punts |
| Discapacitat (33 %) alumne/a, pare, mare o germans | 15 punts |
| Condició de víctima de violència de gènere o terrorisme | 10 punts |


