INS Estatut
ESO, Batxillerat i Cicles Formatius
INS Estatut
Rubí
  • L’Institut
    • Història i característiques del centre
    • Instal·lacions
    • Organigrama
    • Consell escolar
    • Calendari del curs 2025-2026
    • Horari marc
  • Projecte educatiu
    • Documentació bàsica de centre
    • PQiMC
    • Projectes de centre
    • Estratègia Digital de Centre
    • Centre formador d’estudiants del Màster de professorat de secundària
  • Estudis
    • ESO
    • Batxillerat
    • Cicles formatius Informàtica
    • Cicles formatius Administració i gestió
    • Convalidacions de cicles formatius
  • Serveis
    • Reparació d’ordinadors
    • Servei de préstec de llibres de segona mà
    • Servei menjador
    • Serveis TAC
    • Normativa de prèstec de portàtils (ESO)
    • iEduca
    • Activitats extraescolars
    • Proveïdors
    • Bústia Queixes i Sugeriments
  • Secretaria
    • Preinscripcions 2025-2026
    • Beques
    • Quotes
  • AFA
    • Extraescolars Curs 2025/2026
  • Contacte
  • Tutories
  • Inici
  • Cicles Formatius
  • Publicació dels llistats de Grau Mitjà amb ordenació definitiva

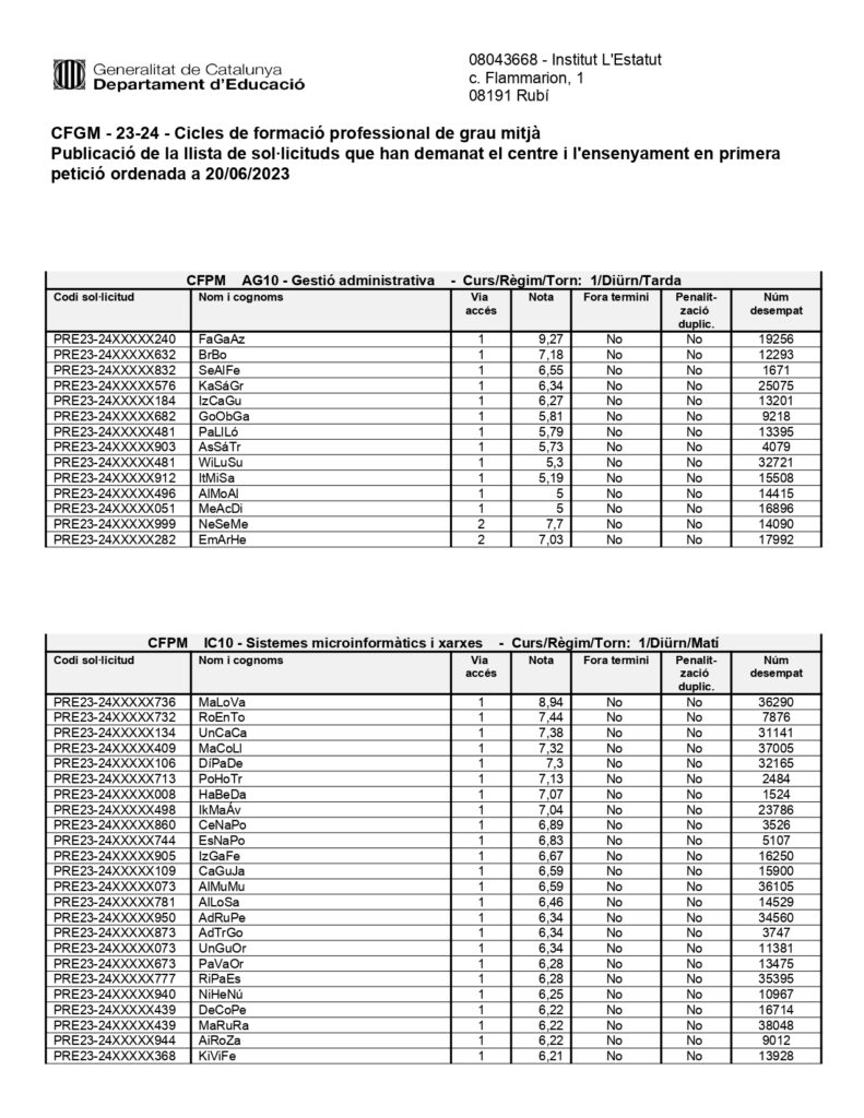
Publicació dels llistats de Grau Mitjà amb ordenació definitiva

admin20/06/23  

Publicació de les llistes definitives de Grau Mitjà per al curs 2023-2024 a 20/06/2023.

A continuació trobareu dos llistats, un amb els alumnes de continuïtat i altre llistat amb la resta de l’alumnat:

Llistat de l’alumnat de continuïtat

 

Llistat de la resta de l’alumnat

 

 

Cicles Formatius, General, Portada 0

Articles recents

  • Llistat baremat definitiu batxillerat
  • Llistat baremat provisional CFGB
  • Llistat baremat provisional PFI
  • Llistat baremat de batxillerat i número de desempat
  • Oferta inicial Grau Superior 2026 – 2027

Etiquetes

1r ESO 2n d'ESO 2n ESO 3r ESO 4t ESO 2017 2018-2019 2019 2019-2020 2020 2020-2021 2021-22 Almagro Anglès Batxillerat Bon Nadal cicles cicles formatius cinema colònies Coronavirus ESCAC ESO experiments Expressió oral FP inici curs Intercanvi JBC jornada de portes obertes JPO Marató TV3 Matemàtiques MNACTEC Nadal optativa Preinscripció preinscripció 2022-23 projectes Sant Jordi sortida telemedievo Toledo Viatge video

Arxius

  • maig 2026
  • abril 2026
  • març 2026
  • febrer 2026
  • desembre 2025
  • novembre 2025
  • setembre 2025
  • juliol 2025
  • juny 2025
  • maig 2025
  • abril 2025
  • març 2025
  • febrer 2025
  • gener 2025
  • desembre 2024
  • setembre 2024
  • agost 2024
  • juliol 2024
  • juny 2024
  • maig 2024
  • abril 2024
  • març 2024
  • gener 2024
  • setembre 2023
  • juliol 2023
  • juny 2023
  • maig 2023
  • abril 2023
  • març 2023
  • gener 2023
  • desembre 2022
  • setembre 2022
  • maig 2022
  • abril 2022
  • març 2022
  • febrer 2022
  • desembre 2021
  • novembre 2021
  • setembre 2021
  • juliol 2021
  • juny 2021
  • abril 2021
  • febrer 2021
  • desembre 2020
  • setembre 2020
  • juliol 2020
  • juny 2020
  • maig 2020
  • abril 2020
  • març 2020
  • gener 2020
  • desembre 2019
  • novembre 2019
  • octubre 2019
  • setembre 2019
  • juliol 2019
  • juny 2019
  • maig 2019
  • abril 2019
  • març 2019
  • febrer 2019
  • gener 2019
  • desembre 2018
  • octubre 2018
  • setembre 2018
  • juliol 2018
  • juny 2018
  • maig 2018
  • març 2018
  • febrer 2018
  • desembre 2017
  • novembre 2017
  • octubre 2017
  • setembre 2017
  • juny 2017
  • maig 2017
  • abril 2017
  • març 2017
  • febrer 2017
  • setembre 2014

Segueix-nos!

Logotip entitat
INS Estatut
C. Flammarion, 1
08191 Rubí Catalunya Espanya
93 588 08 58
634 98 10 14
mapa | contacte

Avís legal | Sobre el web | © 2026 Generalitat de Catalunya | Fet amb WordPress

INS Estatut | https://agora.xtec.cat/ies-estatut
Ves al contingut
Obre la barra d'eines Eines d'accessibilitat

Eines d'accessibilitat

  • Augmenta el textAugmenta el text
  • Disminueix el textDisminueix el text
  • Escala de grisosEscala de grisos
  • Contrast altContrast alt
  • Contrast negatiuContrast negatiu
  • Fons clarFons clar
  • Enllaços subratllatsEnllaços subratllats
  • Tipus de lletra llegibleTipus de lletra llegible
  • Reinicialitza Reinicialitza
Aneu a la barra d'eines
  • Logotip Generalitat
  • Logotip XTEC
    • XTEC
    • Edu365
    • Digital
    • Nus (Xarxa docent)
    • Alexandria
    • ARC
    • Merlí
    • jClic
    • Linkat
    • Odissea
    • Àgora
    • Sinapsi
    • Dossier
  • Entra