Informació preinscripció 24-25
Benvolgudes famílies. Per trobar tota la informació relativa a la preinscripció pel curs 24-25 podeu trobar.la dins de: Menú Seveis Preinscripció o matrícula
Informació preinscripció 24-25 Llegeix més »
En aquesta pàgina hi trobeu notícies. Per entrar a les propostes d’activitats, podeu fer-ho des d’aquí.
Benvolgudes famílies. Per trobar tota la informació relativa a la preinscripció pel curs 24-25 podeu trobar.la dins de: Menú Seveis Preinscripció o matrícula
Informació preinscripció 24-25 Llegeix més »
Benvolgudes famílies: Us detallem l’horari de les reunions de l’inici del curs 2023-24. 14 de setembre I4 i I5 a les 17:00h 1r i 2n a les 18:30h 21 de setembre 3r i 4t a les 17:00h 5è i 6è a les 18:30h
Reunions famílies de l’inici de curs 2023-24 Llegeix més »
Al mes de maig, el nostre company Raimon Raga va poder gaudir d’una mobilitat a Itàlia en el marc del projecte Erasmus+Ka1, com a membres del consorci ALAS Allà ha pogut visitar, juntament amb en Rafa Cerezuela de l’Escola Guerau de Liost de Les Franqueses, diverses escoles d’Infantil, Primària i Secundària dels municipis Lombardore i
Mobilitat a Itàlia Llegeix més »
Cliqueu l’enllaç. INFORME_BAREM_DEFINITIU_BAREM 11052023 INFORME_BAREM_DEFINITIU_BAREM 11052023
Llista sol·licituds de I3 ordenada Llegeix més »
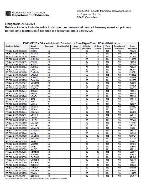
Cliqueu a l’enllaç per veure el llistat. https://drive.google.com/file/d/1ZAm7ZXvBJE4asF2cQWXulx5Dwo6PgCIh/view?usp=share_link
Llistat de sol·licituds amb les puntuacions resoltes a les reclamacions Llegeix més »
Enguany la nostra escola ha tornat a participar al concurs matemàtics “Fem Mates” Enhorabona a la Clàudia Ruiz que va passar a la tercera fase del concurs i als alumnes classificats que van participar amb els seus tutors Raimon Raga i Coral Acevedo.
Aquí teniu un petit resum dels 42ns Jocs Florals. Desitgem us agradi!
42ns Jocs Florals Llegeix més »