Identitats Notables

De tots els productes possibles de binomis alguns mereixen l’apel·latiu de notables, perquè del seu domini en podem obtenir grans avantatges per facilitar els càlculs amb expressions algebraiques. Els avantatges es deriven del fet de poder enunciar directament el quadrat d’una suma qualsevol o el d’una diferència sense haver d’efectuar en cada ocasió el producte.

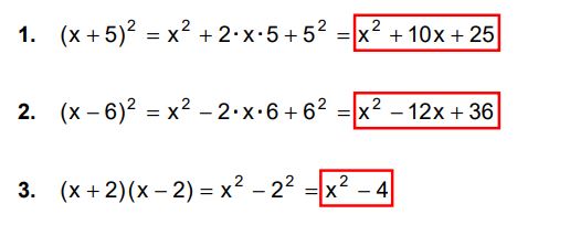
A continuació tenim 3 exemples de com apliquem cadascuna de les identitats anteriors:

Si voleu podeu mirar el següent video per veure l’explicació pas a pas:

 

A continuació resoleu els següents exercicis d’identitats notables. Recordeu que quan tenim escrit per exemple (x^2) vol dir x al quadrat (el barret “^” vol dir “elevat”):

 

 

 

Deixa un comentari

L'adreça electrònica no es publicarà. Els camps necessaris estan marcats amb *

XHTML: Trieu una d'aquestes etiquetes <a href="" title=""> <abbr title=""> <acronym title=""> <b> <blockquote cite=""> <cite> <code> <del datetime=""> <em> <i> <q cite=""> <s> <strike> <strong>