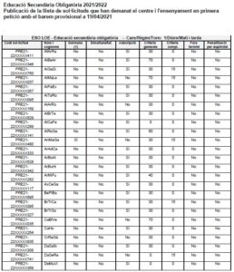
Barem provisional preinscripció ESO 2021-2022

Podeu consultar aquí el barem provisional de la preinscripció per ESO del curs 2021-2022.

Si la sol·licitud no s’ha puntuat correctament o hi ha alguna errada en les dades es pot presentar una reclamació a través del web del Departament d’Educació en aquest enllaç

El termini per presentar reclamacions és del 20 al 26 d’abril de 2021

També podeu fer la consulta en els següents llistats :

El codi de preinscripció tindrà el format PRE21-22XXXXX i els 3 darrers números del codi de la sol·licitud (exemple PRE21-22XXXXX323). Pel que fa al nom i cognoms, estarà format per les dues primeres inicials del nom, i les del primer i el segon cognom (exemple SuRoPo).