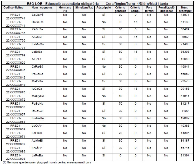
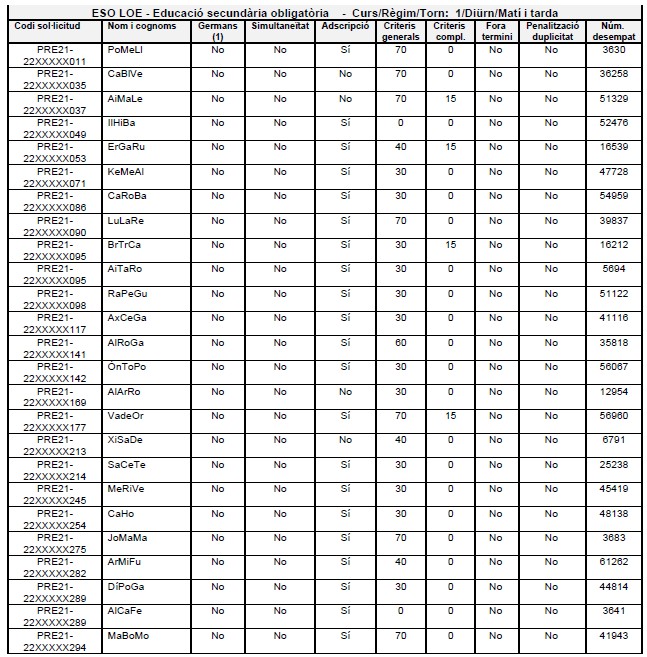
Educació Secundària Obligatòria 2021/2022
Publicació de la llista de sol·licituds que han demanat el centre i l’ensenyament en primera
petició amb el barem resoltes les reclamacions a 30/04/2021
El codi de preinscripció tindrà el format PRE21-22XXXXX i els 3 darrers números del codi de la sol·licitud (exemple PRE21-22XXXXX323). Pel que fa al nom i cognoms, estarà format per les dues primeres inicials del nom, i les del primer i el segon cognom (exemple SuRoPo).





