Ha arribat el final de curs i amb ell, la recollida dels Clakis (recipients d’oli usat).
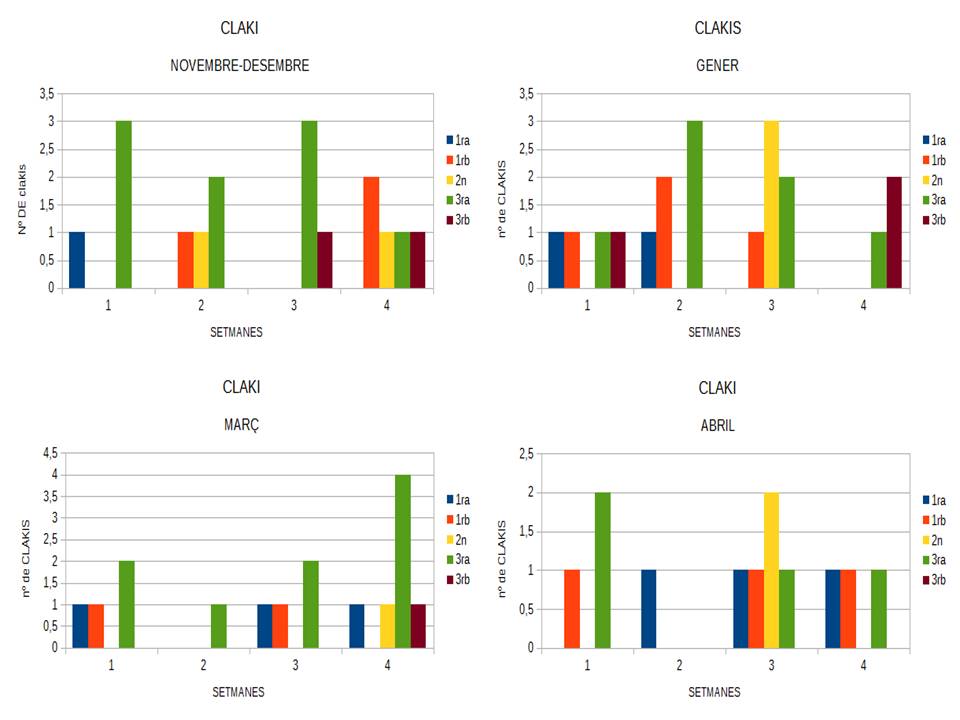
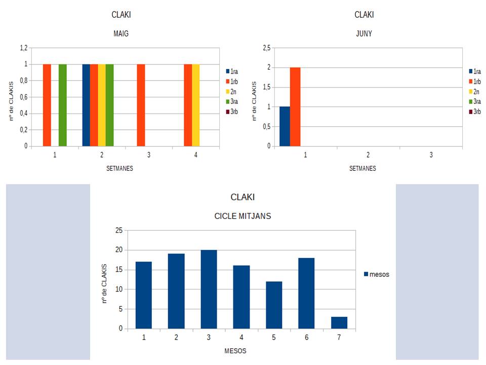
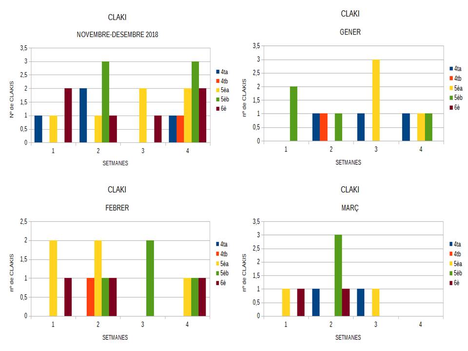
Els de 6è cada dimarts, recollíem els Clakis de primària i anotàvem per cada classe quants en portaven.
Les dades les hem processat en un programa informàtic i el resultat en forma de gràfics estadístics han estat els que veieu .
Els gràfics en blau son els globals i es veu com ha anat disminuint l’aportació d’oli usat , BONA NOTÍCIA!! això vol dir que potser ja mengem de manera més saludable.
Bon estiu i fins el setembre que tornarem a començar
Gràfiques Cicle Mitjans
Gràfiques Cicle Grans






Cal potenciar el reciclatge i aquesta em sembla una bona manera de fer-ho. Endavant!